Adherence k terapii u pacientů s idiopatickými střevními záněty na podkožní biologické léčbě
Martin Kolář1, Milan Lukáš1
+ Pracoviště
Souhrn
Úvod: Nonadherence je problémem v léčbě chronických onemocnění včetně idiopatických střevních zánětů (IBD) a dle literatury je adherence nedostatečná u čtvrtiny pacientů. Důsledkem je riziko selhání terapie a relapsu nemoci. Nonadherence představuje významný faktor v případě domácí aplikace podkožní biologické léčby (BL). Cílem práce je hodnocení adherence konvenčně sledovaných IBD pacientů s podkožní formou BL ve srovnání s využitím monitoringu telemedicínskými prostředky. Metodika: K hodnocení adherence bylo využito retrospektivních údajů jednoho IBD centra o četnosti návštěv a vydané medikaci u pacientů s výpočtem metriky medication possession ratio (MPR). Byla porovnána kohorta pacientů vedených na platformě IBD Asistent s aktivním zasílám upozornění na nutnost aplikace, s kontrolní skupinou, kterou představovali konvenčně sledovaní IBD pacienti srovnatelní podle typu léčby, diagnózy, pohlaví a věku. Sekundárním parametrem bylo sledování sérových hladin léčiva v subpopulaci pacientů s adalimumabem. Výsledky: Do studie bylo zařazeno 69 pacientů s podkožní BL aktivních v období od července 2022 do července 2023 na platformě IBD Asistent. K této skupině byla v poměru 2: 1 přiřazena kontrolní skupina 138 konvenčně sledovaných pacientů. Průměrný věk pacientů byl 40,6 ± 11,1 let; 43,5 % mužů. Crohnova nemoc byla diagnostikována u 83,1 % pacientů. Adalimumabem bylo léčeno 91,3 % pacientů, 7,2 % nemocných mělo podkožně aplikovaný vedolizumab a 1,5 % pacientů dostávalo golimumab. Medián sledování činil 517 dní. Adherence hodnocená MPR byla vysoká v telemedicínské i konvenční skupině (0,960 ± 0,084 vs. 0,967 ± 0,094; p = 0,6123). Podíl neadherentních pacientů s MPR < 0,86 činil 8,8 % a 8,0 % (p = ns). V celém souboru byla adherence signifikantně nižší u žen a tendence k vyšší adherenci u pacientů s ulcerózní kolitidou. Věk pacientů nehrál roli. U pacientů s nízkými hladinami adalimumabu byl výrazně vyšší podíl nonadherentních pacientů (36,8 vs. 4,9 %; p = 0,0002). Závěr: Přestože celková adherence k aplikaci podkožní BL je relativně vysoká a nezávislá na způsobu sledování pacientů, lze hodnocením MPR pomoci identifikovat rizikové skupiny pacientů. Nízké hladiny léčiva (adalimumabu) jsou ve třetině případů důsledkem nonadherence.
Klíčová slova
idiopatické střevní záněty, biologická léčba, adherence, medication possession ratio
Úvod
Nedodržování stanoveného léčebného režimu je dlouhodobý problém především v léčbě chronických onemocnění. Světová zdravotnická organizace využívá k popisu problému pojem „nonadherence“ k léčbě a charakterizuje ho jako tichou epidemii, protože je odhadovanou příčinou 21–37 % nežádoucích událostí, které jsou spojeny s léčbou, ale jimž lze předejít [1]. Důsledky nonadherence zahrnují zvýšenou míru selhání léčby, hospitalizace a růst nákladů pro zdravotní systémy. V kontextu toho, že odhadovaná míra neadekvátní adherence dosahuje v rozvinutých zemích až 50 %, se jedná o významný a podceňovaný problém [2], který dále nabývá na významu zejména s tím, jak narůstá podíl chronických chorob na celkové morbiditě populace. Idiopatické střevní záněty (IBD) nepředstavují výjimku. V současnosti je odhadovaný počet pacientů léčených v České republice s diagnózou IBD kolem 70 tis. a incidence zůstává ve srovnání s globálně udávanými údaji relativně velmi vysoká [3]. S trvalým nárůstem prevalence je podíl pacientů léčených nákladnou centrovou léčbou stále vyšší a pohybuje se kolem 11 tis. v tomto kalendářním roce. Schopnost měřit, hodnotit a zvyšovat adherenci je proto významným prvkem péče o tyto pacienty.
Základní farmakoterapeutické prostředky v léčbě střevních zánětů po selhání konvenční léčby představuje inovativní léčba zahrnující monoklonální protilátky a malé molekuly, mezi kterými v první linii stále dominují protilátky proti TNFα. I přes velmi dobrou efektivitu u velké části pacientů dosahuje míra primárního selhání a dále sekundární ztráta odpovědi kolem 15 % léčených ročně a je výraznou limitací tohoto typu léčby [4]. Mimo farmakodynamické příčiny je dominantním důvodem farmakokinetické selhání podmíněné vznikem protilátek proti léčivu, jejichž tvorba může být potencována přílišnou fluktuací koncentrace léčiva v organizmu nebo dlouhodobě nízkými sérovými hladinami [5]. Stabilita hladin je závislá na pravidelné aplikaci léčiva, která je zejména v případě podkožních forem léčby s krátkým aplikačním intervalem podmíněna adekvátní adherencí pacientů. Cílem práce je hodnocení adherence pacientů s Crohnovou chorobou (CD) a ulcerózní kolitidou (UC) léčených podkožními formami biologické léčby v prostředí terciárního IBD centra a posouzení vlivu využití monitoringu pacientů telemedicínskými prostředky na míru adherence.
Metody
Primární sledovanou populací byli IBD pacienti registrovaní a aktivně využívající platformu IBD Asistent na pracovišti Klinického a výzkumného centra pro idiopatické střevní záněty ISCARE. Jedná se o online rozhraní, které dlouhodobě stabilní pacienti na biologické léčbě mohou využívat ke komunikaci s pracovištěm a vyplněním dotazníku o zdravotním stavu nahradit část průběžných ambulantních kontrol [6]. Na této platformě bylo v době zpracování dat registrováno celkem 1 122 pacientů. Podmínky pro zařazení do retrospektivního hodnocení zahrnovaly aktivní participaci na platformě v období od července 2022 do července 2023, léčbu podkožní formou biologické terapie neměnným přípravkem po celé období a zasílání elektronického upozornění ze systému na nutnost aplikace léčiva, které je volitelnou součástí registrace do platformy. Jako kontrolní skupina sloužila kohorta konvenčně ambulantně sledovaných pacientů, kteří byli k telemedicínské skupině přiřazeni v poměru 2: 1 podle pohlaví, věku, diagnózy a typu léčby.
Adherence byla hodnocena pomocí metriky medication possession ratio (MPR), která je vypočtena jako podíl počtu dnů, na které je pacient vybaven medikací, a počtu dnů ve skutečném intervalu, ve kterém se pacient dostavil k vydání dalších dávek léčby. Údaje o počtu vydaných injekcí, dávce, aplikačním intervalu a návštěvách v centru byly získány z nemocničního informačního systému. MPR bylo vypočteno vždy od prvního k poslednímu dostupnému termínu návštěvy v centru spojenému s vydáním léčiva pacientovi. Hraniční hodnota posuzovaná jako nonadherence byla stanovena na MPR < 0,86.
U pacientů na adalimumabu byly dále zaznamenány sérové hladiny léčiva měřené při každé návštěvě v rámci obvyklých krevních odběrů. Pokud byly k dispozici alespoň dvě hodnoty sérových hladin, byli pacienti zařazeni do dílčí analýzy závislosti sérových hladin a MPR.
Porovnání skupin bylo hodnoceno testem Mann-Whitney, kategorické hodnoty Fisherovým exaktním testem a k hodnocení závislosti MPR na věku byla využita regresní analýza. K analýze byl využit software GraphPad Prism (verze 10.3.1). Hladina významnosti byla stanovena jako p < 0,05.
Výsledky
Podmínky pro zařazení do studie splnilo 74 pacientů, z toho po analýze vzorku byli vyřazeni tři pacienti na terapii usktekinumabem, jelikož aplikace tohoto přípravu pro dlouhý aplikační interval probíhá obvykle přímo v centru, a dva pacienti byli vyřazeni pro chybnou evidenci formy léčby (schéma 1). Z 69 zařazených pacientů bylo 30 (43,5 %) mužů a 39 (56,5 %) žen s průměrným věkem 40,5 let. Dominantně byli pacienti léčeni pro diagnózu CD (84,1 %). Na terapii adalimumabem bylo 63 pacientů, 5 na terapii vedolizumabem a 1 pacient byl léčen golimumabem. Kontrolní skupina zahrnovala 138 konvenčně sledovaných pacientů (tab. 1). Pacienti, kteří byli ve sledovaném období 12 měsíců do července 2023 zařazeni do studie, pokračovali ve sledování do doby akvizice dat nebo změny léčivého přípravku. Medián sledování dosáhl 517 dní.


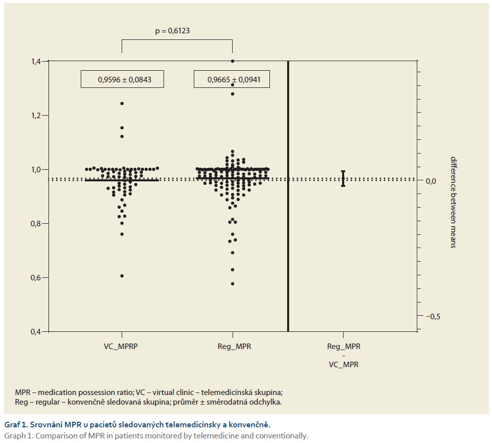
Průměr MPR za celou dobu sledování dosáhl v telemedicínsky sledované skupině hodnoty 0,9596 (směrodatná odchylka [standard deviation, SD] ±0,0843), v konvenčně sledované kohortě 0,9665 (SD ±0,0941; p = 0,6123). Mezi skupinami nebyl významný rozdíl (graf 1). Celkový podíl nonadherentních pacientů v telemedicínské skupině byl 8,8 % ve srovnání s 8,0 % ve skupině konvenční (p = 0,7917).

Jelikož skupiny byly srovnatelné jak co do vstupních charakteristik, tak MPR, hodnotili jsme dále potenciální vliv diagnózy na adherenci v rámci celé studované populace. Numericky nižší míra adherence byla zaznamenána u pacientů s CD ve srovnání s UC, rozdíl však nedosáhl statistické významnosti (0,9573 ± 0,0854 vs. 0,9831 ± 0,1004; p = 0,1468). Při posouzení závislosti věku pacienta na MPR nebyl prokázán vztah mezi věkem a adherencí dle MPR (graf 2).

Rozdíl byl však pozorován při porovnání populace mužů a žen se statisticky významně nižší adherencí ve skupině ženského pohlaví (0,9510 ± 0,1003 u žen vs. 0,9808 ± 0,0743 u mužů; p = 0,0211) (graf 3).

Do dílčí analýzy hodnotící sérové hladiny bylo zařazeno 61 telemedicínsky sledovaných a 122 konvenčně sledovaných pacientů na adalimumabu. Průměrné sérové hladiny adalimumabu byly srovnatelné v obou skupinách (9,39 ± 4,07 µg/ml vs. 9,14 ± 4,28 µg/ml; p = ns), stejně jako poměr pacientů s intenzifikovanou dávkou nebo zkráceným aplikačním intervalem (36,1 vs. 33,6 %; p = ns) (tab. 2). Vzhledem ke shodnému MPR, sérovým hladinám a podílu pacientů v intenzifikovaném režimu jsme dále hodnotili vztah sérových hladin a MPR v celém souboru pacientů na adalimumabu. U pacientů, kteří nesplnili kritérium adekvátní adherence (MPR < 0,86), byly průměrné sérové hladiny adalimumabu výrazně nižší ve srovnání s pacienty s dobrou adherencí, a to navzdory tomu, že výrazně vyšší podíl pacientů s nízkou adherencí měl intenzifikovaný aplikační režim (5,65 ± 4,73 µg/ml s nízkým MPR vs. 9,54 ± 4,02 µg/ml s vysokým MPR; p = 0,001) (tab. 3). Obdobně pak při posuzování míry adherence na základě sérových hladin adalimumabu bylo zjištěno, že ve skupině pacientů s velmi nízkými hladinami adalimumabu (< 3,5 µg/ml) byl signifikantně vyšší podíl subjektů s nedostatečnou adherencí k léčbě ve srovnání se skupinou vykazující dostatečné trough levels adalimumabu (36,8 vs. 4,9 %; p = 0,0002) (tab. 4).



Diskuze
Práce retrospektivně hodnotila adherenci pacientů s idiopatickými střevními záněty na podkožní biologické léčbě k pravidelné aplikaci léčiva v závislosti na způsobu monitorace pacientů, demografických datech a dále vztah farmakokinetiky a adherence u subpopulace pacientů léčených adalimumabem.
K hodnocení adherence lze využít subjektivní metody na základě pacientem udávaných údajů o množství spotřebovaných léčiv nebo vyplněním dotazníku, objektivní hodnoty lékových hladin či hladin metabolitů nebo aplikaci léčiva pod dohledem jako přímé formy a dále databázové záznamy o vydaných nebo vykázaných léčivech jako nepřímé metody kontroly adherence [7]. Metoda MPR využitá v této práci je rozšířeně aplikovanou metrikou zejména pro svou jednoduchost a informuje o tom, jaká část návštěvního intervalu pacienta je kryta vydanými léčivy. Údaje o celkové adherenci IBD pacientů k léčbě se v literatuře různí, v případě perorálních léčivých přípravků je udáván rozsah nonadherence v širokém rozmezí 7–72 % [8]. V případě biologických léčiv ze skupiny anti-TNFα vychází z rozsáhlého review sdružená míra adherence 82,6 % s rozmezím 36,8–96 % [9]. Shoda na vyžadované míře adherence rovněž nepanuje a zatímco často udávanou hodnotu 80 % některé klinické studie považují za přijatelnou, jinde je 95 % nepodkročitelné minimum [10]. V jedné z největších individuálních publikací, která hodnotila adherenci > 5 tis. pacientů k léčbě adalimumabem, byla průměrná kumulativní hodnota MPR vypočítána na 0,94 a byla stanovena cut-off hodnota MPR 0,86; která maximalizuje rozdíl mezi adherentní a neadherentní kohortou z hlediska rizika selhání léčby v podobě preskripce kortikosteroidů nebo nutnosti hospitalizace [11]. Pro objektivně stanovenou cut-off hodnotu na základě definovaných kritérií a obdobnou charakteristiku soboru byla hodnota MPR 0,86 využita jako kritérium adherence i v naší kohortě místo obvykle arbitrárně vymezené hranice 0,8.
Do naší studie bylo zařazeno celkem 207 pacientů na různých typech podkožní formy biologické léčby z jednoho centra. Pacienti na ustekinumabu do hodnocení zařazeni nebyli pro dlouhý aplikační interval léčby, jelikož k podání injekce dochází za této situace nejčastěji z rukou zdravotnického pracovníka přímo v centru. Z publikovaných dat vyplývá, že podávání biologické léčby v místě poskytovatele zdravotních služeb je nezávislým faktorem spojeným s 2,4násobně vyšší mírou adherence ve srovnání s domácí aplikací léčiva [12]. Primárním cílem práce bylo posoudit vliv telemedicínského monitorování na míru adherence s předpokladem, že vyšší míra aktivního zapojení pacienta do léčebného procesu a zasílání notifikací upozorňujících na nastávající termín domácí aplikace léčiva povede ke zlepšení adherence k léčbě. Signifikantní rozdíl v míře adherence u telemedicínsky a standardním způsobem sledovaných pacientů však zaznamenán nebyl. Jedním z důvodů je pravděpodobně celkově velmi vysoká vypočtená adherence celého souboru přesahující MPR 0,96. Přestože hodnota není numericky výrazně vyšší než udávaná ve studii Govani et al. [11], podíl nonadherentních pacientů pod stanoveným cut-off v této studii byl > 20 %, zatímco v naší kohortě pacientů pouze 8–9 %. Lze pouze spekulovat, jaké faktory stojí za vysokou mírou adherence souboru, nicméně roli může bezpochyby hrát provozní režim pracoviště zahrnující způsob a kvalitu evidence pacientů a plánování návštěv. Rizikové faktory nízké adherence k domácí aplikaci biologické léčby ve studii Shah et al. zahrnovaly diagnózu CD, vyšší linii biologické léčby, anamnézu psychiatrického onemocnění, abúzus tabáku a narkotik a nízký socioekonomický status [13]. Jinde byla nižší míra adherence spojena s mladším věkem pacientů, ženským pohlavím, delším trváním onemocnění, využíváním metod alternativní medicíny nebo subjektivně udávanými překážkami, jako nepohodlná aplikace, nežádoucí účinky, zapomenutí nebo zlepšení zdravotního stavu [12,14–17]. Tato data korespondují i s našimi výsledky. Další hodnocené faktory zahrnovaly vliv pohlaví, věku a diagnózy na míru adherence, a zatímco věk s adherencí asociován nebyl, signifikantně nižší adherence se prokázala u populace žen a numericky u CD, kde sice nebyla prokázána statistická významnost, nicméně jednou z příčin je malá velikost kohorty pacientů s UC snižující sílu testu.
Asociace adherence a sérových hladin byla hodnocena pouze v populaci pacientů s adalimumabem. Tato skupina zaujímala dominantní podíl souboru a rovněž závěry o vlivu farmakokinetiky vedolizumabu a ustekinumabu na efekt léčby nejsou zcela konkluzivní nebo přinejmenším nebyly definovány minimální a optimální údolní sérové hladiny, jichž by prostřednictvím terapeutického monitorování (TDM) mělo být dosaženo [18,19]. Ani v sérových hladinách adalimumabu nebyl mezi telemedicínskou a konvenčním způsobem sledovanou skupinou hodnotitelný rozdíl, a to ani u pacientů v intenzifikovaném režimu léčby, jejichž podíl byl v obou kohortách srovnatelný. Vzhledem k homogenitě souboru bylo možné pomocí stanoveného cut-off posoudit vliv MPR na sérové hladiny v celé populaci a část souboru s nízkou adherencí vykazovala signifikantně nižší průměrné hladiny adalimuambu v séru, přestože podíl pacientů s intenzifikovaným režimem byl v této skupině výrazně vyšší. Jelikož hodnocení adherence není běžnou součástí monitorace pacientů, klinicky významnější otázka byla, zda suboptimální sérové hladiny mohou být asociovány s nízkou mírou adherence. Zde bylo patrné, že zatímco skupina s optimálními hladinami adalimumabu vykazovala nízký podíl neadherentních subjektů < 5 %, ve skupině s nedostatečnými hladinami dosahovala míra nonadherence téměř 37 %. Klinickou implikací tedy je, že při analýze příčin neoptimální farmakokinetiky při využití TDM by jedním z hlavních zvažovaných faktorů v případě domácí aplikace léčiv mělo být nedodržování aplikačního intervalu ze strany pacienta.
Intervence navrhované za účelem dosažení vyšší míry adherence zahrnují opakovanou edukaci pacienta o významu a mechanizmu účinku aplikovaného léčiva, rizicích selhání léčby a projevech nežádoucích účinků plynoucích z nepravidelné aplikace. Dále úpravu složení, množství a mechanizmu aplikace léčiva pro komfortnější injekční podání, optimalizaci a centralizaci systému dispenzarizace pacientů a v neposlední řadě behaviorální intervenci včetně většího zapojení pacienta do rozhodovacího procesu a upozorňování k pravidelným aplikacím např. i zaváděním elektronických telemedicínských prostředků. Ty mohou vést jak k úspoře nákladů, tak ke zvýšené spokojenosti pacientů a povědomí o problematice vlastního onemocnění [20].
Závěr
Adherence k podkožní biologické léčbě je v našem souboru v kontextu publikovaných výsledků vysoká a nezávislá na formě monitorace pacientů. Hodnocením MPR lze však identifikovat jak skupiny pacientů s pravděpodobností horší adherence, tak individuální nonadherentní pacienty v riziku selhání léčby. Nedostatečné sérové hladiny adalimumabu byly ve více než třetině případů spojeny s nonadherencí a je nutno na tento faktor při hodnocení farmakokinetiky pomýšlet.
Poděkování
Za pomoc při zpracování dat patří poděkování Kateřině Vlkové a Janě Horutové z centra ISCARE.
Doručeno/Submitted: 1. 12. 2024
Přijato/Accepted: 9. 12. 2024
Korespondenční autor
MUDr. Martin Kolář
Klinické a výzkumné centrum pro střevní záněty
Klinické centrum ISCARE a. s. a 1. LF UK v Praze
Českomoravská 19
190 00 Praha 9
kolar@iscare.cz
Pro přístup k článku se, prosím, registrujte.
Výhody pro předplatitele
Výhody pro přihlášené
Literatura
1. Uppsala Monitoring Centre. Better pharmacovigilance for all. 2017 [online]. Dostupné z: https: //view.publitas.com/uppsala-monitoring-centre/uppsala-reports-76_web/ page/1.
2. WHO. Adherence to long-term therapies: evidence for action. 2003 [online]. Dostupné z: https: //iris.who.int/handle/10665/ 42682.
3. Dušek L, Ngo O, Májek O et al. Díl II. – epidemiologie idiopatických střevních zánětů v české populaci: dostupné datové zdroje, prevalence léčených pacientů a celková mortalita. Gastroent Hepatol 2019; 73(2): 163–166. doi: 10.14735/amgh2019163.
4. Lukáš M. Idiopatické střevní záněty. Nové trendy a mezioborové zkušenosti. Praha: Grada Publishing 2021.
5. Marsal J, Barreiro-de Acosta M, Blumenstein I et al. Management of non-response and loss of response to anti-tumor necrosis factor therapy in inflammatory bowel disease. Front Med (Lausanne) 2022; 9: 897936. doi: 10.3389/fmed.2022.897936.
6. Malíčková K, Pešinová V, Bortlík M et al. Telemedicína a idiopatické střevní záněty – výsledky pilotního projektu IBD Asistent. Gastroent Hepatol 2020; 74(1): 18–27. doi: 10.14735/amgh202018.
7. Anghel LA, Farcas AM, Oprean RN. An overview of the common methods used to measure treatment adherence. Med Pharm Rep 2019; 92(2): 117–122. doi: 10.15386/mpr-1201.
8. Jackson CA, Clatworthy J, Robinson A et al. Factors associated with non-adherence to oral medication for inflammatory bowel disease: a systematic review. Am J Gastroenterol 2010; 105(3): 525–539. doi: 10.1038/ajg.2009.685.
9. Lopez A, Billioud V, Peyrin-Biroulet C et al. Adherence to anti-TNF therapy in inflammatory bowel diseases: a systematic review. Inflamm Bowel Dis 2013; 19(7): 1528–1533. doi: 10.1097/MIB.0b013e31828132cb.
10. Chan W, Chen A, Tiao D et al. Medication adherence in inflammatory bowel disease. Intest Res 2017; 15(4): 434–445. doi: 10.5217/ir.2017.15.4.434.
11. Govani SM, Noureldin M, Higgins PDR et al. Defining an optimal adherence threshold for patients taking subcutaneous anti-TNFs for inflammatory bowel diseases. Am J Gastroenterol 2018; 113(2): 276–282. doi: 10.1038/ajg.2017.438.
12. Wentworth BJ, Buerlein RC, Tuskey AG et al. Nonadherence to biologic therapies in inflammatory bowel disease. Inflamm Bowel Dis 2018; 24(9): 2053–2061. doi: 10.1093/ibd/izy102.
13. Shah NB, Haydek J, Slaughter J et al. Risk factors for medication nonadherence to self-injectable biologic therapy in adult patients with inflammatory bowel disease. Inflamm Bowel Dis 2020; 26(2): 314–320. doi: 10.1093/ibd/ izz253.
14. Kane S, Dixon L. Adherence rates with infliximab therapy in Crohn‘s disease. Aliment Pharmacol Ther 2006; 24(7): 1099–1103. doi: 10.1111/j.1365-2036.2006.03092.x.
15. Kitney L, Turner JM, Spady D et al. Predictors of medication adherence in pediatric inflammatory bowel disease patients at the stollery children’s hospital. Can J Gastroenterol 2009; 23(12): 811–815. doi: 10.1155/2009/53 6860.
16. Duncan J, Sastrillo M, Baker J et al. An audit of adherence to anti-tnf therapy in patients with inflammatory bowel disease. Gut 2011; 60(1): A141–A142. doi: 10.1136/gut.2011.239301.300.
17. Billioud V, Laharie D, Filippi J et al. Adherence to adalimumab therapy in Crohn’s disease: a French multicenter experience. Inflamm Bowel Dis 2011; 17(1): 152–159. doi: 10.1002/ibd.21491.
18. McDonald C, Kerr H, Gibbons E et al. Higher ustekinumab levels in maintenance therapy are associated with greater mucosal healing and mucosal response in Crohn‘s disease: an experience of 2 IBD centers. Inflamm Bowel Dis 2024; 30(3): 423–428. doi: 10.1093/ibd/ izad073.
19. Singh S, Dulai PS, Vande Casteele N et al. Systematic review with meta-analysis: association between vedolizumab trough concentration and clinical outcomes in patients with inflammatory bowel diseases. Aliment Pharmacol Ther 2019; 50(8): 848–857. doi: 10.1111/apt.15484.
20. Kuriakose Kuzhiyanjal AJ, Nigam GB, Antoniou GA et al. Management of inflammatory bowel disease using E-health technologies: a systematic review and meta-analysis. J Crohns Colitis 2023; 17(10): 1596–1613. doi: 10.1093/ecco-jcc/jjad075.